| 일 | 월 | 화 | 수 | 목 | 금 | 토 |
|---|---|---|---|---|---|---|
| 1 | 2 | 3 | 4 | 5 | 6 | |
| 7 | 8 | 9 | 10 | 11 | 12 | 13 |
| 14 | 15 | 16 | 17 | 18 | 19 | 20 |
| 21 | 22 | 23 | 24 | 25 | 26 | 27 |
| 28 | 29 | 30 | 31 |
- 언어모델
- DB
- 836
- 컴파일러
- React
- 컴파일
- 운영체제
- 웹소프트웨어
- 정보검색
- 오픈소스웹소프트웨어
- 자료구조
- 도커
- Linear Algebra
- 객체지향설계
- 자연어처리
- docker
- 데이터베이스
- 가상메모리
- 파싱테이블
- 파싱
- 프로세스
- OS
- 랩실일기
- css
- 소프트웨어공학
- 스케줄러
- NLP
- 클래스
- C언어
- 데이터분석
- Today
- Total
observe_db
[정보 검색] 11. Test Classification & Naive Bayes 본문
원본 chap. 13~15
X는 doc.들의 공간
C는 class의 집합
D는 라벨된 doc.들의 학습 set
분류기 γ : X->C
ex. 감성 분석
방식
1) 수작업
2) 규칙 기반
3) 통계/확률적
Naive Bayes
c_map = argmax P(c|d)
이를 베이즈 정리를 이용하여 풀면
c_map = argmax P(d|c)*P(c)

또한 이 수식을 따른다.
n_d는 document의 길이(=token의 수)
t_k는 문서속의 토큰.
Maximum a posteriori(MAP) class

그리고 값들이 확률값이므로 [0,1]의 범위를 가진다.=>곱하면 수가 계속 작아져 underflow 발생 가능
=>log 사용.

여기서 Nc는 class c 내의 doc의 수. N은 전체 doc 수
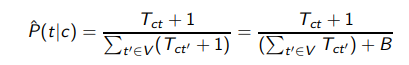
Tct는 class c의 학습 doc 안의 t 토큰 수.


수정: 분모가 0이 되는 것을 막음

Evaluation of TC
Macroaveraging
- F1을 각 클래스 C에 대해 계산.
- 그 평균을 계산
- 클래스별 정확도 평균
Microaveraging
- TP, FP, FN을 각 클래스 C에 대해 계산
- C들을 다 더하고
- F1을 계산.
- instance들의 평균.
Chap 14. Vector Space Classification
Intro vector space classification
vector space에서는
term을 axes로 사용.(대충 100,000여개의 차원)
길이에 대해 normalize
vector space classification의 전제
1) 같은 클래스는 연속적(가까이 있음)
2) 타 클래스와 overlap은 없음.
상위 차원에서 하위 차원으로 projection시 거리에 대해 오독이 생길 수 있음.
Rocchio
각 클래스의 중심(centroid)를 구해서 그 거리를 이용해서 분류

근데 나이브 베이즈보단 안좋음.
(convex가 아니면 다루지 못함+multimodal class 불가)
kNN(k-Nearest Neighbor)
나이브 베이즈보다 좋음.
P(c|d) = fraction of k neighbors of d that are in c
k의 경계 내에서 가장 많은 클래스로 설정.
k 값 정하는 것도 관건.
Chat 15-1 SVM(Support Vector Machine)
SVM intro
경계를 명확히 구분=>class 나누기에 용이
마진을 최대로 하는 곳에 결정 경계를 만들고, 그것을 통해 결정
'학교 공부 > 정보검색(4-2)' 카테고리의 다른 글
| [정보검색] 10. Web Search & Link Analysis (2) | 2024.11.22 |
|---|---|
| [정보검색] 9. Relevance Feedback & Query Expansion (0) | 2024.11.19 |
| [정보 검색] 8. Evaluation & Result Summaries (0) | 2024.11.16 |
| [정보검색] 7. Scores in a Complete Search System (0) | 2024.11.08 |
| [정보 검색] 6. Scoring, Term Weighting, The Vector Space Model (1) | 2024.11.01 |